HIDROCARBUROS
Se conoce como hidrocarburo al compuesto de tipo orgánico que surge de la combinación de átomos de hidrógeno con átomos de carbono. Estas cadenas de átomos de carbono pueden ser abiertas o cerradas y lineales o ramificadas.De los Hidrocarburos se derivan los ALCANOS, ALQUENOS Y ALQUINOS, aunque existen otros hoy veremos estos.
ALCANOS
Se caracterizan por estar formados por carbono e hidrógeno unidos por enlaces covalentes simples. Son los principales componentes del petróleo. Su fórmula General es CnH 2n + 2 La terminación (sufijo) para los alcanos es “ano”.![]() |
| Etano |
![]() |
| Metano |
![]() |
| Propano |
![]() |
| Butano |
![]() |
| Hexano |
![]() |
| Heptano |
![]() |
| Octano |
![]() |
| Decano |
![]() |
| Nonano |
Grupos Alquilo: Los grupos alquilo son los sustituyentes en las cadenas principales y no existen aislados o libres, sino que forman parte de la estructura de un compuesto. El grupo alquilo, se forma al eliminarse un átomo de hidrógeno de un alcano y su nombre resulta de sustituir la terminación ANO, del alcano correspondiente, por el sufijo o terminación IL o ILO.
Ejemplo: CH4 es metano y CH3 − es metilo, CH3− CH3 es etano y CH3−CH2
− es etilo
Pasos para Nomenclatura de alcanos
1. Se elige la
cadena más larga de átomos de carbono
2. Se enumera la cadena principal, empezando por el
extremo más próximo a una ramificación
3. Si hubiera dos o más cadenas de igual longitud se
elige la más ramificada
4. Las ramificaciones
se nombran antes que la cadena principal, precedidas por el número del carbono localizador.
5. Si un átomo de carbono tiene dos ramificaciones, el
mismo número del átomo de carbono se antepone a cada grupo alquilo ordenados alfabéticamente.
6. Si hay dos o más grupos alquilo diferentes en distintos carbonos, se
nombran por orden alfabético, anteponiendo el número localizador del átomo de
C.
Si
un mismo grupo alquilo se repite en varios carbonos, se separan los números
localizadores con comas y se antepone al grupo alquilo el prefijo di, tri,
tetra, etc. Las ramificaciones se alfabetizan sin tomar en cuenta al prefijo
que indica su repetición.
CICLOALCANOS: Son hidrocarburos formados por un anillo de
tres o más átomos de carbono. Se caracterizan por la fórmula general CnH2n
También reciben el nombre de compuestos
alicíclicos por presentar propiedades semejantes a los compuestos alifáticos.
ALQUENOS: son hidrocarburos
acíclicos insaturados que se caracterizan por la presencia de un doble enlace
en su molécula y tienen una fórmula general CnH2n en
donde n es el número de átomos de carbono presentes. El alqueno más simple es
el eteno (etileno), que tiene una fórmula molecular: C2H4
Pasos para Nomenclatura de
alquenos
1.
El
nombre de los alquenos se forma cambiando la terminación “ano” de los alcanos
por “eno”
2.
Se
numera la cadena más larga, tomando encuentra el extremo más cercano al doble
enlace
3.
El
doble enlace se especifica con el numero donde se localiza, el cual se antepone
al nombre del alqueno
4.
Se
nombra el alqueno de la cadena más larga y se especifica el número de átomo de
carbono en que esté insertado el doble enlace, el cual se antepone al nombre
5.
Se
indica los radicales por orden alfabético anteponiendo el número del átomo de
carbono en que se localizan
Los
CICLOALQUENOS conservan el mismo nombre pero se les antepone el prefijo ciclo
ALQUINOS: son hidrocarburos
alifáticos insaturados, que tienen la fórmula general CnH2n-2
y se caracterizan por la presencia de un triple enlace en la molécula. El
alquino más sencillo es el acetileno
(C2H2).
Su nomenclatura es similar a la de los ALQUENOS y no vi necesidad alguna de ponerlo de nuevo, aunque si pondré ejercicios de cada uno de los hidrocarburos.
Ejercicios de ALCANOS:

I. Escriba en una hoja blanca tamaño carta, la estructura correcta para cada uno de los siguientes nombres.
1) 3-ETIL-2,3-DIMETILPENTANO
2) 2-METILBUTANO
3) 4-ETIL-2,2,5,6-TETRAMETILHEPTANO
Nombra los siguientes cicloalcanos:


Ejercicios de ALQUENOS:
4,4-dimetil-2-(1-metiletil)-2-penteno
4,5-dimetil-1,4-hexadieno
3-etil-2,4-dimetil-3-hepteno
2,4-dimetil-3-hexeno
Nombra los siguientes alquenos:


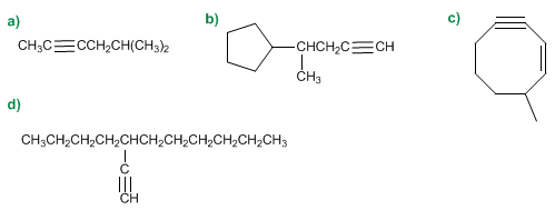
Ejercicios de ALQUINOS:



By: Mata

















No hay comentarios:
Publicar un comentario